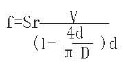
渦街流量計gongzuoyuanlishizailiutizhongchuizhidecharuyigenzhuzhuangzulitishi,zaiqiliangcejiuhuijiaotidechanshengxuanwo,suizheliutixiangxiayoufangxiangyundong,xingchengxuanwo,chengweikamanwojie,jiantu1。產生渦街的阻力體稱漩渦發生體。實踐證明,渦街流量計旋渦的頻率與流速成正比,可用下式表示:
式中:f-旋渦頻率 d-柱狀體迎流麵寬度 sr-斯特勞哈爾數 v-管內平均流速 d-管道內徑
實驗證明:當兩列旋渦之間的距離h和同列兩個旋渦之間的距離L滿足L/h=0.281時非對稱旋渦列就能保持穩定狀態。當流體雷諾數Re在5000-15000之間範圍內時,Sr基本不變,所以d和Sr為定值時旋渦發生體的頻率f與流體的平均流速成正比,即與體積流量Q成正比而與壓力、溫度、密度等無關。
當dang旋xuan渦wo在zai柱zhu體ti兩liang側ce產chan生sheng時shi候hou,傳chuan感gan器qi受shou到dao與yu流liu向xiang垂chui直zhi的de交jiao變bian升sheng力li的de作zuo用yong感gan生sheng信xin號hao,升sheng力li的de變bian化hua頻pin率lv是shi旋xuan渦wo頻pin率lv,傳chuan感gan器qi將jiang信xin號hao送song轉zhuan換huan器qi放fang大da整zheng形xing後hou得de到dao與yu流liu速su成cheng線xian性xing比bi例li的de脈mai衝chong信xin號hao直zhi接jie輸shu出chu或huo將jiang其qi轉zhuan換huan成cheng4~20mA標準信號輸出,流量Q與頻率f的關係如下: 式中:Q=瞬時體積流量(升/秒) f-頻率(Hz) k-儀表常數(次/升)

|