電磁流置計在線校準結果的不確定度分析
youyuzaixianxiaozhuncaiyongdefangfashibiaozhunbiaofa,qiebiaozhunbiaochuanlianzaibeijiandakoujingdianciliuliangjideguandaoshang,yinci,yingxiangxiaozhunjieguodeyinsuyubiaozhunbiaojihuannengqianzhuangweizhi、安an裝zhuang方fang式shi和he管guan道dao參can數shu等deng因yin素su有you關guan。以yi雙shuang聲sheng道dao流liu量liang計ji為wei例li,其qi原yuan理li是shi以yi超chao聲sheng波bo在zai流liu體ti內nei順shun逆ni兩liang個ge傳chuan播bo方fang向xiang,利li用yong傳chuan播bo時shi間jian差cha與yu流liu體ti流liu速su之zhi間jian的de關guan係xi得de到dao流liu體ti流liu量liang的de,原yuan理li圖tu見jian圖tu1所示。
本次分析被測對象為i.o級的電磁流量計,標準表為雙聲道超聲流量計,測量管徑為600mm,管內介質為淨水,水溫為常溫。
2.1數學模型
△=Q-QS
式中, △為絕對示值誤差;Q為在檢定時間內被檢流量計測得的累計流量值; QS為在檢定時間內標準流量計測得的實際累計流量值。
2.2不確定度來源分析
1)被校流量計測量重複性帶來的不確定度分量,其中在線校準流體狀況複雜,連接管道、閥門和流體不穩定等影響因素都包含在了重複性中。
2) 由標準表帶來的不確定度分量:
a. 由標準表(超聲流量計)自身測量不準確帶來的不確定度分量。
b.管道內徑測量引入的不確定度分量:從時3可以看出聲道長度和管道內徑有直接關係,因此管道內徑測量不準確是影響流量精度測量的一個影響量。
c.標準表其他影響量的分析:超聲波流量計安裝換能器時,安裝距離可由定距棒固定,因此,官能器安裝位置的偏差對校準結果的影響可以忽略不計;換能器安裝方式一般根據標準超聲流量計對不同介質的選擇是固定的,在此不考慮該影響量;液體介質中的聲速與溫度有關,關係式為υt=υ0+α(t+t0),其中:υt表示溫度為t時的聲速,t0為表格中指出的溫度,υ0表示溫度為t0時聲速,α為溫度係數。
?? 由於本次分析的介質為常溫水,溫度對標準表的影響可以忽略。在測量熱水管道時應考慮溫度的影響。
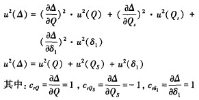
?? 綜上所述,除被測表重複性和標準表自身帶來的不確定度,其它影響量還有1個。數學模型可以表示為:

式中,δ1為管道內徑測量不準對測量結果的影響。
2.3方差和靈敏係數
根據誤差傳播定律,由式:(5)得

2.4各不確定度分量
以下不確定度分量重,測量重複性引入的不確定度采用A類評定,其餘分量采用B類評定。
1.
現場選擇一個流量點在盡可能的重複條件下測量6詞,得到一個相對誤差測量列,1.16%,1.44%,1.93%,2.35%,1.82%,2.54%用極差法得到

3)測量管道內徑帶來的不確定度
管道內徑測量是通過測量外徑和管道壁厚而得,由於現場校準條件一般都不理想,通常管道外徑采用了II級鋼卷尺測量管道周長得到,壁厚通過超聲波測厚儀測量得到。n級鋼卷尺使用中的最大允許誤差為:±(0.6+0.4t)mm(l為管道周長)=±1.4mm,所用超聲波測厚儀的最大誤差為: ±0.02mm,相比鋼卷尺可以忽略。那麼測量管道內徑誤差為±1.4/π≈±0.5mm。
?? 根據多次試驗,內徑測量誤差為±0. 5mm時引起流量的影響量得到一個經驗值,約為0.50%,按均勻分布考慮,則測量管道內徑帶來的不確定度為:


3.結語
在線校準是大口徑電磁流量計校準的發展方向,已越來越得到人們的重視。從應用情況來看,在線校準具有以下優點:
- 符合了儀表在使用中的計量管理要求;
- 校準時不斷水,保證了生產和供應的連續性;
- 減少了工作量,省卻了儀表送校拆裝等大量費用。對保護珍貴的水資源、節約用水、保(bao)證(zheng)水(shui)資(zi)源(yuan)不(bu)流(liu)失(shi)以(yi)及(ji)維(wei)護(hu)和(he)保(bao)障(zhang)能(neng)源(yuan)交(jiao)易(yi)市(shi)場(chang)秩(zhi)序(xu)有(you)著(zhe)極(ji)其(qi)重(zhong)要(yao)的(de)意(yi)義(yi)。但(dan)是(shi),由(you)於(yu)現(xian)場(chang)條(tiao)件(jian)惡(e)劣(lie),環(huan)境(jing)複(fu)雜(za),影(ying)響(xiang)因(yin)素(su)較(jiao)多(duo),大(da)口(kou)徑(jing)流(liu)量(liang)計(ji)在(zai)線(xian)校(xiao)準(zhun)的(de)測(ce)量(liang)不(bu)確(que)定(ding)分(fen)析(xi)方(fang)法(fa)還(hai)需(xu)進(jin)一(yi)步(bu)研(yan)究(jiu),它(ta)的(de)科(ke)學(xue)性(xing)和(he)標(biao)準(zhun)性(xing)有(you)待(dai)提(ti)高(gao)。
以上內容來源於網絡,如有侵權請聯係即刪除!