熱re采cai法fa是shi最zui有you效xiao的de回hui收shou稠chou油you的de方fang法fa,在zai稠chou油you熱re采cai過guo程cheng中zhong,注zhu入ru油you井jing蒸zheng汽qi的de質zhi量liang流liu量liang和he幹gan度du,大da程cheng度du地di影ying響xiang著zhe稠chou油you的de輸shu出chu,這zhe使shi得de對dui注zhu井jing蒸zheng汽qi參can數shu的de測ce量liang十shi分fen重zhong要yao,這zhe屬shu於yu汽qi水shui兩liang相xiang流liu測ce量liang的de問wen題ti。
在工業過程和科學研究中,兩相流的檢測一直是檢測科學一個焦點。Murdock等建立了孔板分離流模型,James等建立了改進的孔板均相流模型。以上兩模型用兩相密度比修正後,進一步提高了模型精度,並擴大了適用範圍。
liangxiangliudongshiyigesuijiguocheng,liangxiangliutizhongdexiangfenbuzaikongjianheshijianshangdoushisuijide。youcisuijixingzaiceliangguochengzhongchanshengdezaosheng,rukongbanchayamaidong,shirenmenzailiangxiangliujiancedeshijianzhongshuzhidewulixianxiang。raner,genjuchuantongdecelianglilun,cizaoshengjinjinshijiancexitongzhongdeganraoxinhao。genjuxiandaijiancelilundeguandian,zaoshengyeshiguochengxitongshuchudeyizhongxinxi。tongguoduizaoshengjilidefenxi,jianlizaoshengdetongjilvbomoxing,biankehuodeyubeijiancebianliangxiangguandedingliangxinxi,congerjianlizaoshengjianceliangxiangliudeshiyonglilunmoxing。
1、孔板差壓噪聲測量汽水兩相流的理論模型
假設:汽液兩相分別流過孔板;無相間動量交換;無相變過程;滿足絕熱條件。
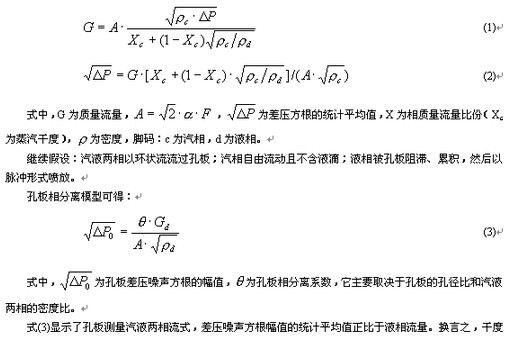
由此得到理想化的孔板分離流模型為:

越小,差壓噪聲越大。
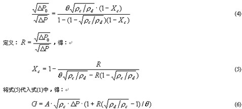
將式(3)的兩邊分別除以式(2)的兩邊,可得:
式(5)、(6)即為利用孔板差壓噪聲測量汽液兩相流雙參數(例如質量流量和幹度)的理論模型。其物理意義明確,形式非常簡單,無須變換便可直接應用於微機儀表。
實測的汽水兩相流孔板差壓方根的相對統計方差(R),大者可達百分之幾十,小者也有百分之幾,對於幹度變化的反應相當靈敏。
2、汽水兩相流雙參數測量儀表
根據上述的模型,作者研製成功與單孔板配套的測量儀表。該儀表核心是Intel 8098 CPU,配置32K ROM和8K RAM,還包括8個LED,8個按鍵以及微型打印機。一台開關穩壓電源為儀表和變送器提供電能。
來自壓力變送器和差壓變送器的4~20毫安直流信號經I/V轉換成1~5伏電壓信號,再經A/D變換成數字量。數字濾波和統計估計可得數學模型計算所需的P、 和 。並按壓力P由相應子程序計算密度和熱焓,從而算出汽水兩相流的幹度、質量流量和攜帶熱量,並對流量和熱量進行累積運算。鍵盤和LED用於常數設置和結果顯示,微打可定時或立即打印結果。D/A接口輸出幹度信號,RS232接口可與上位機進行通訊。儀表原理框圖如圖1所示。
圖1 儀表框圖
3、儀表在油田中的應用
利用孔板測量汽水兩相流實驗的78組數據,確定了比例係數 值。以下實驗數據來自遼河油田的兩個油井。表1顯示了采用本儀表和傳統采樣法所得的幹度數據的差別。表2顯示了采用本儀表和傳統孔板流量計測得的流量數據的差別。
[表1]
時間 |
9:00 |
9:15 |
9:30 |
9:45 |
10:00 |
10:15 |
10:30 |
10:45 |
11:00 |
本儀表 |
68 |
66 |
65 |
67 |
70 |
68 |
68 |
67 |
68 |
采樣 |
73 |
73 |
73 |
74 |
75 |
74 |
74 |
75 |
75 |
誤差(%) |
5 |
7 |
?8 |
7 |
5 |
6 |
6 |
8 |
7 |
[表2]
時間 |
9:00 |
9:15 |
9:30 |
9:45 |
10:00 |
10:15 |
10:30 |
10:45 |
11:00 |
本儀表 |
8.184 |
8.012 |
8.189 |
8.203 |
8.021 |
8.086 |
8.012 |
8.103 |
8.085 |
孔板流量 |
8.2 |
8.2 |
8.2 |
8.2 |
8.1 |
8.1 |
8.1 |
8.1 |
8.1 |
誤差(%) |
0.195 |
2.293 |
0.134 |
-0.04 |
0.975 |
0.173 |
1.086 |
-0.037 |
0.185 |
從以上數據可以看出,儀表測得的質量流量與直流鍋爐的給水孔板流量相比較,誤差小於5%;幹度的誤差小於10%。
4、結論
(1)在zai汽qi水shui兩liang相xiang流liu中zhong的de孔kong板ban差cha壓ya噪zao聲sheng是shi由you於yu兩liang相xiang流liu中zhong相xiang密mi度du分fen布bu的de不bu均jun勻yun性xing和he孔kong板ban的de相xiang分fen離li效xiao應ying引yin起qi的de。其qi差cha壓ya噪zao聲sheng的de方fang差cha包bao含han著zhe相xiang比bi分fen和he質zhi量liang流liu量liang的de信xin息xi。利li用yong孔kong板ban噪zao聲sheng測ce量liang汽qi水shui兩liang相xiang流liu幹gan度du和he質zhi量liang流liu量liang的de理li論lun模mo型xing,經jing實shi驗yan證zheng明ming與yu實shi際ji基ji本ben相xiang符fu。從cong而er實shi現xian了le用yong單dan一yi孔kong板ban同tong時shi測ce量liang汽qi水shui兩liang相xiang流liu雙shuang參can數shu(幹度和流量)。
(2)汽水兩相流雙參數測量儀表與傳統儀表相比,測量誤差基本相同,但結構簡單,而且具有更強的性能指標。
本文渦街流量計,江蘇省蘇科儀表有限公司為您提供,轉載請注明出處!!