概述:
SK係列V錐流量計又稱內錐流量計、V錐、錐形流量計,是一種差壓流量計,和其它類型的差壓流量計的基本原理相同,都是基於密封管道中的能量守恒原理,SK係列V錐流量計擴大了流量測量範圍,並避免了傳統差壓流量計的一些局限性,工作性能優。SK係列V錐流量計是在管道中心懸掛一個錐形截流件,錐形件阻礙介質流動,重塑流速曲線,測量介質包括水、蒸汽、空氣、天然氣、氮氣、焦爐煤氣和有機氣體等。介質條件可從深低溫到超臨界狀態。工作溫度最高450℃,最大壓力25Mpa,可測量最高雷諾數為5*106,最低雷諾數為8*103甚至更低。產生滿刻度差壓信號從最低小於0.1 千帕到最高幾十千帕。
工作原理:
SK係列V錐zhui流liu量liang計ji是shi一yi種zhong差cha壓ya流liu量liang儀yi表biao,以yi差cha壓ya原yuan理li流liu量liang儀yi表biao已yi經jing有you一yi百bai多duo年nian的de應ying用yong曆li史shi了le。差cha壓ya原yuan理li是shi基ji於yu密mi封feng管guan道dao中zhong的de能neng量liang轉zhuan換huan原yuan理li,也ye就jiu是shi說shuo對dui穩wen定ding流liu體ti,流liu量liang與yu管guan道dao中zhong介jie質zhi流liu速su的de平ping方fang根gen成cheng正zheng比bi。當dang介jie質zhi接jie近jin錐zhui體ti時shi,其qi壓ya力li為weiP1,在介質通過錐體的截流區時,速度增大,壓力降低為P2,P1和P2都通過錐形流量計的取壓口引到差壓變送器上,當流速發生變化時,錐形流量計的兩個取壓口之間的差壓值會增大或縮小。
SK係列V錐流量計在zai進jin行xing流liu量liang計ji算suan時shi所suo采cai用yong的de計ji算suan公gong式shi同tong其qi他ta差cha壓ya流liu量liang儀yi表biao相xiang同tong,但dan其qi截jie流liu元yuan件jian迫po使shi管guan道dao中zhong心xin的de介jie質zhi繞rao著zhe錐zhui體ti流liu動dong,與yu其qi他ta差cha壓ya流liu量liang計ji相xiang比bi這zhe樣yang有you很hen多duo優you點dian。我wo們men可ke以yi借jie助zhu理li想xiang狀zhuang態tai流liu速su曲qu線xian分fen布bu圖tu來lai理li解jie錐zhui形xing流liu量liang計ji的de性xing能neng。管guan道dao中zhong的de流liu體ti沒mei有you受shou到dao任ren何he幹gan擾rao和he阻zu礙ai,即ji是shi我wo們men所suo說shuo的de理li想xiang流liu態tai,他ta的de流liu速su分fen布bu均jun勻yun,靠kao近jin管guan壁bi的de流liu速su幾ji乎hu為wei零ling,管guan道dao中zhong心xin的de流liu速su達da到dao最zui大da,靠kao近jin管guan壁bi的de流liu速su幾ji乎hu為wei零ling,是shi由you於yu管guan壁bi對dui介jie質zhi的de摩mo擦ca力li造zao成cheng的de。由you於yu錐zhui體ti懸xuan掛gua在zai管guan線xian中zhong心xin,他ta直zhi接jie同tong流liu體ti的de高gao速su區qu接jie觸chu,迫po使shi高gao速su區qu的de流liu體ti同tong近jin管guan壁bi低di速su區qu的de流liu體ti相xiang混hun合he從cong而er使shi流liu速su均jun勻yun化hua。所suo以yi即ji使shi流liu速su很hen低di,錐zhui形xing流liu量liang計ji仍reng能neng使shi流liu體ti與yu管guan道dao中zhong心xin的de最zui高gao流liu速su連lian續xu作zuo用yong產chan生sheng正zheng確que差cha壓ya。
現實中,流速很難分布均勻,管道上的任何變化都可能對流體造成影響,如:灣頭、閥門、縮徑、擴徑、泵、三通等等,而錐形流量計利用錐體對上遊的流速分布曲線重新進行塑造,即使在惡劣的情況下,仍能保證測量精度。
特點:
流量計精度:±0.5%、±1.0%、±1.5%係統精度須參照應用條件及二次表的精度。
重複性好:優於±0.1%
量程比寬:正常情況下為10:1,若有必要也可加大。
直管段要求低:流量計前0~3D 直管段、後0~1D 直管段即可保證測量精度。實驗證明,V錐流量計可以接近單彎管或不同平麵的雙彎管而對精度影響很小。
長期穩定性好:錐體的外形設計保證流體在流經錐體時是一種漸變的過程,無突變,β值可保持長期不變,儀表可長期使用不需標定。
信號穩定:所有差壓流量計都會有“信號波動”,也(ye)就(jiu)是(shi)說(shuo)即(ji)使(shi)流(liu)體(ti)穩(wen)定(ding),通(tong)過(guo)一(yi)次(ci)節(jie)流(liu)元(yuan)件(jian)產(chan)生(sheng)的(de)信(xin)號(hao)也(ye)會(hui)有(you)波(bo)動(dong)。對(dui)孔(kong)板(ban)而(er)言(yan),在(zai)節(jie)流(liu)件(jian)後(hou)形(xing)成(cheng)的(de)旋(xuan)渦(wo)較(jiao)長(chang),這(zhe)些(xie)長(chang)的(de)旋(xuan)渦(wo)會(hui)產(chan)生(sheng)高(gao)幅(fu)、低頻波動信號,這些信號會對差壓表的讀數造成幹擾。而錐形流量計會在其下遊形成小旋渦,產生低幅、高頻波動信號。
壓損 小:由於沒有突出的擋板,因此錐形流量計的永久壓力損失比孔板低3/4。
無滯留死區:錐體的“吹掃式”設計不存在死區,因此在錐體上不會堆積流體碎片、粘渣或雜質。
混合器作用:V 錐流量計的下遊所產生的旋渦是短旋渦,可在下遊將介質混合,因此,目前V錐形流量計在作為流量計工作的同時,還可在很多場合用做靜態攪拌器,可迅速而充分的將介質攪拌均勻。
應用:
介 質:煤氣、天然氣(包括含濕度5%以下)、各種碳氫化合物(包括含濕的HC氣體)、各種稀有氣體(氫、氦、氬、氧、氮等)、氯氣、濕的氯化物氣體、空氣(包括含水、含SiO2粒子以及含其他懸浮物的空氣)、煙道氣、飽和蒸汽(含汽、水兩相流)、過熱蒸汽、水等。
條 件:從深冷到超臨界狀態,最高溫度達450℃,最大壓力25Mpa。
計 算:每一個錐形流量計都根據流體的性質、壓力和溫度用專門的軟件進行計算。用戶可根據自己的應用條件(所測介質的組份、溫度、壓力、管徑、最大流量、常用流量、最小流量、準許最大壓力損失)選擇β值。
維 護:錐形流量計免維護,不需要定期維護和檢定。

應用範圍:

|
潔淨氣/液體 |
髒汙氣/液體 |
腐蝕性液體 |
粘性液體 |
磨蝕漿液 |
含纖維漿液 |
低流速流體 |
蒸汽(氣) |
高溫流體 |
低溫流體 |
不充滿管道 |
非牛頓流體 |
明渠 |
V錐 |
○ |
○ |
○ |
◎ |
○ |
○ |
○ |
○ |
○ |
○ |
╳ |
╳ |
╳ |
孔板 |
○ |
◎ |
○ |
◎ |
╳ |
╳ |
○ |
○ |
○ |
○ |
╳ |
○ |
╳ |
文丘裏管 |
○ |
√ |
◎ |
◎ |
◎ |
◎ |
◎ |
○ |
◎ |
◎ |
╳ |
◎ |
╳ |
噴嘴 |
○ |
◎ |
◎ |
◎ |
◎ |
◎ |
◎ |
○ |
◎ |
◎ |
╳ |
◎ |
╳ |
勻速管 |
○ |
◎ |
√ |
◎ |
╳ |
╳ |
◎ |
○ |
◎ |
◎ |
╳ |
╳ |
╳ |
彎管 |
○ |
√ |
√ |
◎ |
√ |
╳ |
◎ |
○ |
◎ |
◎ |
╳ |
◎ |
╳ |
○:設計首選 ◎:在一定的條件下可用 √ :通常可用 ╳:不適用 |
原理

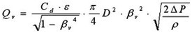
經過簡化後公式為: 
式中: QV ———流體體積流量m3/h
Cd———流出係數
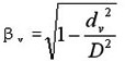
βV———等效直徑比 
dV———為錐體最大直徑,D為管道內徑
ρ———流體工況下密度
ε———氣體可膨脹係數 |
 |


選型:

產品選型
型 號 |
說 明 |
SKV |
錐形流量計 |
|
代號 |
口徑(mm) |
|
15~3000 |
DN15~DN3000mm |
|
|
各部件材料材質 |
|
代碼 |
錐體 |
鋼管 |
法蘭 |
|
A |
SS304 |
20# |
20# |
|
B |
SS304 |
15CrMo |
15CrMo |
|
C |
SS304 |
SS304 |
20# |
|
D |
SS304 |
SS304 |
SS304 |
|
E |
SS316L |
SS304 |
SS304 |
|
G |
SS316L |
SS316L |
SS316L |
|
# |
其它材質 |
|
代號 |
介質 |
|
1 |
液體 |
|
2 |
氣體 |
|
3 |
蒸汽 |
|
4 |
高溫介質 |
|
代號 |
補償形式 |
|
N |
不帶壓力、溫度補償 |
|
Q |
帶壓力、溫度補償輸出 |
|
代號 |
連接形式 |
|
L |
螺紋連接(適用於小口徑) |
|
W |
法蘭連接 |
|
代號 |
壓力等級 |
|
0 |
0.25MPa |
|
1 |
0.6 MPa |
|
2 |
1.0 MPa |
|
3 |
1.6 MPa |
|
4 |
2.5 MPa |
|
5 |
4.0 MPa |
|
6 |
6.3 MPa |
訂貨須知:
訂貨須知:
訂貨時請詳細提供以下數據:
(1)被測介質名稱
(2)最大、常用、最小流量。
(3)工作壓力、工作溫度 、最高壓力、最高溫度
(4)介質密度、粘度
(5)管道材質、內徑、外徑
(6)現場管道敷設情況和局部阻力件形式。
|